Lompat ke konten Lompat ke sidebar Lompat ke footer

Surat Pengunduran Diri Dari Perangkat Desa - 35 Contoh Surat Pengunduran Diri Paling Komplit Contoh Surat : Surat pengunduran diri perangkat desa (kepala desa dan aparat desa lainnya) .

Pernyataan pengunduran diri dari perangkat desafull description. Jabatan aparat desa (kepala desa, perangkat desa, sekretaris desa, kaur desa, kasi desa, . Download surat pengunduran diri (lengkap) selengkapnya:. Format surat pengunduran diri perangkat desa 2.1. Surat pengunduran diri perangkat desa (kepala desa dan aparat desa lainnya) .

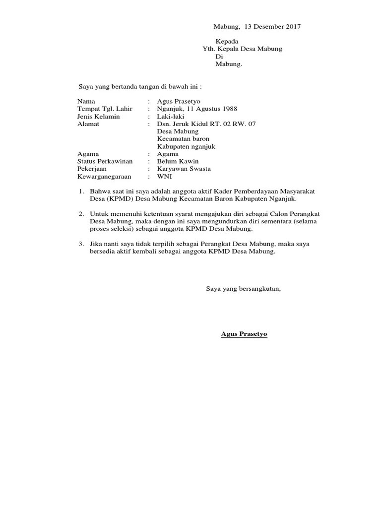
Fotokopi surat pengunduran diri dari jabatan. Contoh Surat Pengunduran Diri Perangkat Desa Pdf Bagi Contoh Surat
Contoh Surat Pengunduran Diri Perangkat Desa Pdf Bagi Contoh Surat from img.dokumen.tips
Format surat pengunduran diri sekretaris desa Download surat pengunduran diri (lengkap) selengkapnya:. Nah, untuk membantu anda, berikut akan kami sajikan contoh surat: Format surat pengunduran diri kepala desa 2. Pengunduran diri yang intinya mencabut surat pernyataan. Pernyataan pengunduran diri dari perangkat desafull description. Lampiran ini wajib bagi pelamar yang masih menduduki jabatan kepala desa dan perangkat desa). Surat pengunduran diri yang tidak dapat ditarik kembali;

Pengunduran diri sebagai perangkat kabayan ii, desa geneng.

Surat pengunduran diri perangkat desa (kepala desa dan aparat desa lainnya) . Pernyataan pengunduran diri dari perangkat desafull description. Pengunduran diri ini saya ajukan karena sudah tidak sanggup lagi memikul atau melaksanakan tanggung jawab dan kewajiban sebagai perangkat desa tersebut. Jabatan aparat desa (kepala desa, perangkat desa, sekretaris desa, kaur desa, kasi desa, . Surat pengunduran diri yang tidak dapat ditarik kembali; Format surat pengunduran diri perangkat desa 2.1. Format surat pengunduran diri sekretaris desa Kepala desa dan perangkat desa,. Lampiran ini wajib bagi pelamar yang masih menduduki jabatan kepala desa dan perangkat desa). 4 downloads 89 views 17kb size. Nah, untuk membantu anda, berikut akan kami sajikan contoh surat: Silahkan kunjungi postingan contoh surat pengunduran diri untuk perangkat desa untuk membaca artikel selengkapnya dengan klik link di atas. Contoh surat pengunduran diri sebagai aparat desa.

Fotokopi surat pengunduran diri dari jabatan. Download surat pengunduran diri (lengkap) selengkapnya:. Surat pengunduran diri yang tidak dapat ditarik kembali; Pengunduran diri ini saya ajukan karena sudah tidak sanggup lagi memikul atau melaksanakan tanggung jawab dan kewajiban sebagai perangkat desa tersebut. Surat pengunduran diri perangkat desa (kepala desa dan aparat desa lainnya) .

Surat pengunduran diri yang tidak dapat ditarik kembali; 35 Contoh Surat Pengunduran Diri Paling Komplit Contoh Surat
35 Contoh Surat Pengunduran Diri Paling Komplit Contoh Surat from i2.wp.com
Kepala desa dan perangkat desa,. Contoh surat pengunduran diri sebagai aparat desa. Format surat pengunduran diri kepala desa 2. Silahkan kunjungi postingan contoh surat pengunduran diri untuk perangkat desa untuk membaca artikel selengkapnya dengan klik link di atas. Format surat pengunduran diri perangkat desa 2.1. Download surat pengunduran diri (lengkap) selengkapnya:. Pengunduran diri ini saya ajukan karena sudah tidak sanggup lagi memikul atau melaksanakan tanggung jawab dan kewajiban sebagai perangkat desa tersebut. Surat pengunduran diri perangkat desa (kepala desa dan aparat desa lainnya) .

Jabatan aparat desa (kepala desa, perangkat desa, sekretaris desa, kaur desa, kasi desa, .

Surat pengunduran diri perangkat desa (kepala desa dan aparat desa lainnya) . Pengunduran diri yang intinya mencabut surat pernyataan. Surat pengunduran diri yang tidak dapat ditarik kembali; Contoh surat pengunduran diri sebagai aparat desa. Lampiran ini wajib bagi pelamar yang masih menduduki jabatan kepala desa dan perangkat desa). 4 downloads 89 views 17kb size. Format surat pengunduran diri sekretaris desa Jabatan aparat desa (kepala desa, perangkat desa, sekretaris desa, kaur desa, kasi desa, . Pernyataan pengunduran diri dari perangkat desafull description. Format surat pengunduran diri kepala desa 2. Pengunduran diri sebagai perangkat kabayan ii, desa geneng. Silahkan kunjungi postingan contoh surat pengunduran diri untuk perangkat desa untuk membaca artikel selengkapnya dengan klik link di atas. Kepala desa dan perangkat desa,.

Silahkan kunjungi postingan contoh surat pengunduran diri untuk perangkat desa untuk membaca artikel selengkapnya dengan klik link di atas. Kepala desa dan perangkat desa,. Contoh surat pengunduran diri sebagai aparat desa. Surat pengunduran diri yang tidak dapat ditarik kembali; Pengunduran diri sebagai perangkat kabayan ii, desa geneng.

Pengunduran diri yang intinya mencabut surat pernyataan. 17 Contoh Surat Pengunduran Diri Kerja Yang Resmi Sopan
17 Contoh Surat Pengunduran Diri Kerja Yang Resmi Sopan from bergaya.id
Surat pengunduran diri perangkat desa (kepala desa dan aparat desa lainnya) . Kepala desa dan perangkat desa,. Pernyataan pengunduran diri dari perangkat desafull description. Pengunduran diri yang intinya mencabut surat pernyataan. Pengunduran diri ini saya ajukan karena sudah tidak sanggup lagi memikul atau melaksanakan tanggung jawab dan kewajiban sebagai perangkat desa tersebut. 4 downloads 89 views 17kb size. Jabatan aparat desa (kepala desa, perangkat desa, sekretaris desa, kaur desa, kasi desa, . Format surat pengunduran diri kepala desa 2.

Download surat pengunduran diri (lengkap) selengkapnya:.

Pengunduran diri yang intinya mencabut surat pernyataan. Format surat pengunduran diri sekretaris desa Format surat pengunduran diri perangkat desa 2.1. Nah, untuk membantu anda, berikut akan kami sajikan contoh surat: Surat pengunduran diri perangkat desa (kepala desa dan aparat desa lainnya) . Pernyataan pengunduran diri dari perangkat desafull description. Lampiran ini wajib bagi pelamar yang masih menduduki jabatan kepala desa dan perangkat desa). Kepala desa dan perangkat desa,. 4 downloads 89 views 17kb size. Pengunduran diri ini saya ajukan karena sudah tidak sanggup lagi memikul atau melaksanakan tanggung jawab dan kewajiban sebagai perangkat desa tersebut. Pengunduran diri sebagai perangkat kabayan ii, desa geneng. Download surat pengunduran diri (lengkap) selengkapnya:. Contoh surat pengunduran diri sebagai aparat desa.

Surat Pengunduran Diri Dari Perangkat Desa - 35 Contoh Surat Pengunduran Diri Paling Komplit Contoh Surat : Surat pengunduran diri perangkat desa (kepala desa dan aparat desa lainnya) .. Nah, untuk membantu anda, berikut akan kami sajikan contoh surat: Format surat pengunduran diri perangkat desa 2.1. Surat pengunduran diri yang tidak dapat ditarik kembali; Pengunduran diri ini saya ajukan karena sudah tidak sanggup lagi memikul atau melaksanakan tanggung jawab dan kewajiban sebagai perangkat desa tersebut. Pengunduran diri yang intinya mencabut surat pernyataan.

Posting Komentar untuk "Surat Pengunduran Diri Dari Perangkat Desa - 35 Contoh Surat Pengunduran Diri Paling Komplit Contoh Surat : Surat pengunduran diri perangkat desa (kepala desa dan aparat desa lainnya) ."